건강한 오토베타 글루칸

오토베타글루칸 오트밀
오트밀은 곡물의 왕이라 불릴 만큼 다양한 영양성분을 갖추고 있습니다.단백질이나 미네랄 식이섬유 등 혈액에 당과 콜레스테롤이 쌓이지 않도록 하고 다양한 영양성분을 골고루 함유하고 있습니다. 버섯에 풍부한 항암 성분으로 알려진 베타글루칸도 풍부하게 들어 있는데, 이를 추출한 건강식품이 중년 남성이나 갱년기 여성에게 좋은 효과가 있다고 주목받고 있습니다.중년 남성과 갱년기 증상 개선 오토베타 글루칸 식물성 식이섬유

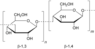
오토베타 글루칸 귀리에는 혈중 콜레스테롤 감소에 도움이 되는 오토베타 글루칸이 풍부합니다.귀리의 13~20%는 식이섬유로 이루어져 있는데 이 중 4~5%가 수용성 식이섬유인 베타글루칸으로 구성되어 있습니다. 미국 FDA에 따르면 베타글루칸을 하루 30g 이상 섭취하면 심혈관계 건강에 도움이 되는 영양 성분으로 확인됐습니다.2010년 식약처에서도 오토베타글루칸이 콜레스테롤 개선과 식후 혈당 상승을 억제하는 데 도움이 된다는 점에서 건강기능식품 원료료로 인정받았습니다.
오토베타 글루칸 귀리에는 혈중 콜레스테롤 감소에 도움이 되는 오토베타 글루칸이 풍부합니다.귀리의 13~20%는 식이섬유로 이루어져 있는데 이 중 4~5%가 수용성 식이섬유인 베타글루칸으로 구성되어 있습니다. 미국 FDA에 따르면 베타글루칸을 하루 30g 이상 섭취하면 심혈관계 건강에 도움이 되는 영양 성분으로 확인됐습니다.2010년 식약처에서도 오토베타글루칸이 콜레스테롤 개선과 식후 혈당 상승을 억제하는 데 도움이 된다는 점에서 건강기능식품 원료료로 인정받았습니다.

오토베타글루칸 섭취 후 변화 성인 남성 20명을 대상으로 오토베타글루칸21 동안 섭취 총 콜레스테롤 13% 감소, LDL콜레스테롤 아포지단백 감소, 베타글루칸은 체내에서 물리적 성질인 점도가 증가하여 담즙의 재흡수를 억제하고 배출시키는 효과가 있습니다.이로 인해 간은 새로운 담즙을 생성하기 위해 콜레스테롤을 사용하게 되었고, 이 과정에서 혈중 콜레스테롤 수치가 감소하여 실제로 4주에서 12주 사이에 통오트밀과 귀리를 섭취한 성인의 70~88%가 총 콜레스테롤 수치가 2.5~11.5% 감소하고 LDL 콜레스테롤 수치가 4.211.8% 감소했다는 연구 결과도 있습니다.
일상적인 식습관으로 오트밀을 먹을 때 베타글루칸을 추가로 섭취하면 식후 혈당을 올리는 속도가 느려져 혈당 상승이 억제된다는 연구 결과도 있습니다. 미국 FDA에서는 이러한 이유로 귀리를 심장 건강에 좋은 식품으로 정하고 섭취를 적극 권장하고 있습니다.캐나다 보건부도 귀리 또는 보리를 포함한 식품이 콜레스테롤 수치를 낮추는 데 도움이 되는 섬유소 공급원이라고 공식 인정했습니다.일상적인 식습관으로 오트밀을 먹을 때 베타글루칸을 추가로 섭취하면 식후 혈당을 올리는 속도가 느려져 혈당 상승이 억제된다는 연구 결과도 있습니다. 미국 FDA에서는 이러한 이유로 귀리를 심장 건강에 좋은 식품으로 정하고 섭취를 적극 권장하고 있습니다.캐나다 보건부도 귀리 또는 보리를 포함한 식품이 콜레스테롤 수치를 낮추는 데 도움이 되는 섬유소 공급원이라고 공식 인정했습니다.오토베타글루칸으로 다이어트 효과까지 오토베타글루칸(오트밀)을 섭취한 그룹에서 체중이 6KG 감소한 것으로 확인됐습니다.미국영양학회 저널에 따르면 베타글루칸을 매일 6g씩 6주간 섭취한 결과 콜레스테롤 수치가 낮아지고 체중을 줄이는 데도 효과가 뛰어난 것으로 확인됐습니다.실험용 쥐에게 귀리피 추출물을 7주간 투여한 결과 체중 증가가 39% 억제된 것으로 나타났으며 복부지방 생성이 37% 억제되고 뼈를 생성하는 조골세포 분화가 32% 촉진된 것으로 확인됐습니다.면역력 증강, 강력한 항산화력오토 베타 글루칸은 폴리페놀 성분이 풍부하고 항 염증과 항산화 능력이 뛰어나고 베타 아밀로이드에 의해서 체내 염증의 생성을 억제하는 효과가 뛰어나다고 알려지고 있습니다.유산균과 함께 복합 배양 베타 글루칸 면역 증강제 베타 글루칸과 유산균 복합 발효 기술을 이용하고 면역 증강제가 개발되었습니다.이는 기존에 사용되는 리포솜계의 면역 증강제보다 독성이 낮고 효능과 가격 경쟁력을 높일 것으로 기대되고 있습니다.갱년기 증상 완화 23년 2월 17일 농촌 진흥청 발표에 의하면, 귀리 껍질에서 여성 갱년기 증상 개선 효과를 확인했다고 밝혔습니다.농촌 진흥청에서는 귀리 껍질이 골다공증 완화와 여성 갱년기 증상 개선에 효과가 있음을 규명하는 특허를 출원했습니다.더 자세한 사항은 파일에서 확인하고 보면 좋죠.첨부 파일 17-1_오토 맥피에서 여성 갱년기 증상 개선 효과 확인(식량원). hwp파일 다운로드 내 컴퓨터 저장네이버 MYBOX에 저장네이버 MYBOX에 저장네이버 MYBOX에 저장신진대사가 어려운 환자를 대상으로 무작위로 오토베타글루칸을 섭취하게 한 결과 총 콜레스테롤 12.8% LDL콜레스테롤 12.1% 감소했고 아포단백질까지 감소한 것으로 확인됐습니다.베타글루칸은 암과 콜레스테롤 등을 제거하여 항염효과와 면역력 증진, 신진대사 촉진, 비만 예방 등 매우 다양한 질환을 예방하고 치료하는 효과가 뛰어납니다.#오토베타글루칸 #오트밀 베타글루칸 #오트밀 #오트밀효능신진대사가 어려운 환자를 대상으로 무작위로 오토베타글루칸을 섭취하게 한 결과 총 콜레스테롤 12.8% LDL콜레스테롤 12.1% 감소했고 아포단백질까지 감소한 것으로 확인됐습니다.베타글루칸은 암과 콜레스테롤 등을 제거하여 항염효과와 면역력 증진, 신진대사 촉진, 비만 예방 등 매우 다양한 질환을 예방하고 치료하는 효과가 뛰어납니다.#오토베타글루칸 #오트밀 베타글루칸 #오트밀 #오트밀효능오토베타글루칸 섭취 시 주의할 점은 너무 많은 양을 한꺼번에 섭취하는 것을 피하고 하루 섭취 권장량을 지켜 물과 함께 먹는 것이 좋습니다.지구상에 존재하는 곡물 중 가장 건강하다고 할 정도로 좋은 통곡물 귀리를 가까이할수록 우리 몸도 건강해지지 않을까 싶습니다.



